 |
|
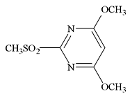
4,6-二甲氧基-2-甲磺酰基嘧啶
|
技术指标:
| 产品名称 |
4,6-二甲氧基-2-甲磺酰基嘧啶 |
| Cas No. |
113583-35-0 |
| 分子式 |
C6H6ClNO2S |
| 分子量 |
218.01 |
| 熔 点 |
128-130℃ |
| 技术指标 |
含量:98% ; 99%;外观:白色晶体;水分:≤0.5% |
| 包 装 |
纸桶内衬塑料袋包装,每桶净重25kg |
| 用 途 |
作为农药中间体,用于水杨酸嘧啶系列除草剂的合成,如:LGC-40864、
KIH-6127、KIH2023、KIH2031。 |
|
|
 |
| 电 话:0519-82895888 82899888 |
(0)13306149888(王先生) |
传 真:0519-82891888 |
|
|
首页|公司简介|产品介绍|在线交易|联系方式|ENGLISH
金坛市泰盛化工有限公司 版权所有(C)2007
网络支持 中国化工网 全球化工网 生意宝 著作权声明
|