|
产品图片: |
 |
药品名称: |
三磷酸腺苷二钠注射液 |
产品类别: |
注射液 |
通 用 名: |
三磷酸腺苷二钠注射液 |
英 文 名: |
Adenosine Disodium Triphosphate for Injection |
汉语拼音: |
Sanlinsuanxiangan’erna Zhusheye |
成 份: |
三磷酸腺苷二钠,其化学名称:腺嘌呤核苷-5’-三磷酸酯二钠盐三水合物。 |
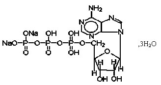
结 构 式: |
 |
分 子 式: |
C10H14N5Na2O13P3·3H2O |
分 子 量: |
605.19 |
性 状: |
本品为无色或几乎无色的澄明液体。 |
药理毒理: |
本品为一种辅酶,有改善机体代谢的作用,参与体内脂肪、蛋白质、糖、核酸以及核苷酸的代谢。同时又是体内能量的主要来源,当体内吸收、分泌、肌肉收缩及进行生化合成反应等需要能量时,三磷酸腺苷即分解成二磷酸腺苷及磷酸基,同时释放出能量。动物试验证明本品可抑制慢反应纤维的慢钙离子内流,阻滞或延缓房室结折返途径中的前向传导,大剂量还可能阻断或延缓旁路的前向和逆向传导;另外还具有短暂强的增强迷走神经的作用,因而能终止房室结折返和旁路折返机制引起的心律失常。 |
适 应 症: |
辅酶类药。用于进行性肌萎缩、脑出血后遗症、心功能不全、心肌疾患及肝炎等的辅助治疗。 |
用法用量: |
肌内注射或静脉注射,一次10~20mg,一日10~40mg。 |
不良反应: |
尚不明确。 |
禁 忌: |
本药对窦房结有明显抑制作用。因此对房窦综合症、窦房结功能不全者及老年人慎用或不用。 |
注意事项: |
静注宜缓慢,以免引起头晕、头胀、胸闷及低血压等。心肌梗死和脑出血患者在发病期慎用。 |
孕妇及哺乳期妇女用药: |
尚不明确。 |
药物相互作用: |
尚不明确。 |
贮 藏: |
密闭,在凉暗处保存。 |
规 格: |
1ml:5mg |
包 装: |
10支/盒 |
批准文号: |
国药准字H34022869 |
有 效 期: |
二年 |